A well-liked dietary supplement known for its potential cognitive benefits is citicoline sodium powder. However, there is a lack of clarity regarding its origin, particularly the question of whether it comes from soy. We will investigate the product's origins and clarify whether it is made from soy in this blog.
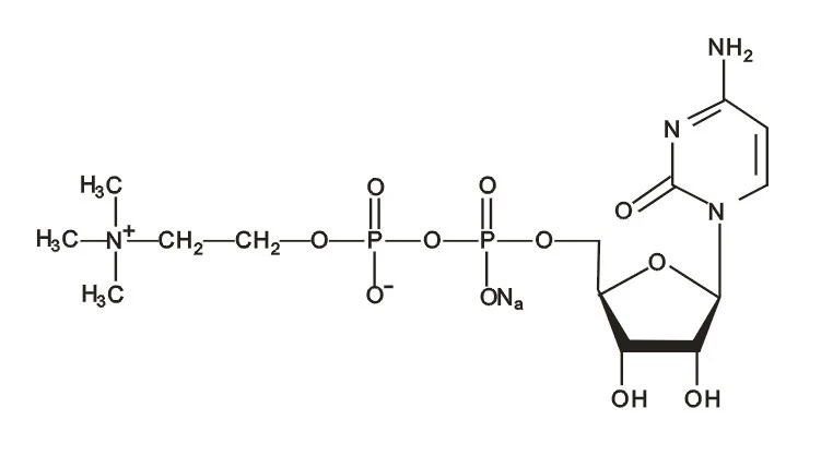
The product, also referred to as cytidine diphosphate-choline (CDP-Choline), is a substance that is necessary for the synthesis of phosphatidylcholine, which is an essential component of cell membranes. It is frequently taken as a dietary supplement to help memory and cognitive function because it is thought to have neuroprotective properties.
The Source of Citicoline Sodium
Citicoline sodium extract powder can be gotten from different sources, including soy. However, not every products supplement is made with soy. Other approaches and ingredients are used to synthesize some. To find out where it comes from in a supplement, read the label or get in touch with the manufacturer.

The product, generally called cytidine-5'- diphosphocholine (CDP-choline), is a nootropic fabricate that has procured basic premium inside the spaces of neuroscience and pharmacology. It is important for improving cognitive abilities and helping to treat a variety of neurological conditions. Understanding its source and synthesis will help you better comprehend its numerous benefits and applications.
Through the intermediate CDP-choline pathway, the body produces the product endogenously. Phosphatidylcholine biosynthesis, a major phospholipid component of cell membranes, is dependent on this pathway, particularly in neuronal cells. Phosphatidylcholine plays a role in maintaining the fluidity and integrity of the membrane, which are essential for proper cellular communication and function. The endogenous creation of the product starts with the transformation of choline to phosphocholine by the catalyst choline kinase. Phosphocholine is then converted by CTP into CDP-choline: Cytidylyltransferase of phosphocholine. A reaction that is facilitated by CDP-choline:1,2-diacylglycerol cholinephosphotransferase culminates in the incorporation of CDP-choline into phosphatidylcholine.
It can be obtained exogenously in addition to being synthesized endogenously. It is economically created and accessible as a dietary enhancement or physician recommended medicine. The modern amalgamation of the product includes the compound blend of choline and cytidine. It is made available in a stable, bioavailable form that is easy for the body to absorb and use upon administration thanks to this method.
What are the cognitive benefits of this substance?
It is well-known for its neuroprotective and cognitive-enhancing properties. It is generally utilized in medication to treat stroke, awful mind injury, mental deterioration brought about by maturing, and neurodegenerative illnesses like Parkinson's and Alzheimer's. By increasing phosphatidylcholine levels in the brain, the substance promotes neuronal repair and stabilizes cell membranes. It also makes more acetylcholine, a neurotransmitter that is necessary for memory and learning.
It also has antioxidant properties that lessen oxidative stress and damage to neurons. Additionally, it regulates the release of certain neurotransmitters, such as dopamine and norepinephrine, which are essential for mood and thought control. These numerous mechanisms enhance its therapeutic potential in a variety of neurological and psychiatric conditions.
It research continues to grow, revealing new applications and advantages. It is a popular cognitive enhancement supplement because recent studies indicate its potential to improve attention, focus, and mental energy. Also, continuous examinations investigate its part in relieving side effects of mental weakness and supporting in general cerebrum wellbeing.
While citicoline sodium powder can be gotten from soy, it isn't generally the situation. There are a lot of its supplements on the market that are made from eggs or other synthetic processes. Before taking any supplements containing the prodcut, it is essential for individuals with soy allergies or dietary preferences to carefully read product labels and consult with healthcare professionals.
Description
The product, which is also known by its chemical name cytidine diphosphate-choline (CDP-Choline), is a potent dietary supplement and pharmaceutical agent that is well-known for its abilities to protect the brain and improve memory. It is a naturally occurring compound that is found in every cell of the human body. It is especially common in the tissues of the brain, where it is essential for maintaining the health and function of neuronal cells.
It is a chemical made of choline and cytidine that dissolves in water. Acetylcholine, a crucial neurotransmitter involved in memory, learning, and muscle control, is made possible by the choline component. In the brain, cytidine, a nucleoside, transforms into uridine, which enhances the synthesis of phospholipids, which are essential for cell membrane integrity and signaling.
It efficiently crosses the blood-brain barrier upon administration and is rapidly absorbed. Once in the cerebrum, it separates into choline and cytidine. Acetylcholine and phosphatidylcholine, which are required for cognitive processes and cell membrane stability, respectively, are produced by choline. Cytidine, on the other hand, makes it easier to make RNA and DNA, which helps cells grow and repair themselves.
Citicoline sodium extract powder is a useful therapy for a variety of neurological disorders because it has significant neuroprotective effects. By increasing phosphatidylcholine synthesis, it improves the preservation of neuronal cell membranes and stabilizes cell structure and function. In conditions like stroke, traumatic brain injury (TBI), and neurodegenerative diseases like Alzheimer's and Parkinson's, this effect is especially helpful.
By reducing the area of infarction and enhancing neuroplasticity, it has been shown to improve recovery outcomes in stroke patients. This is accomplished through its capacity to moderate oxidative pressure, diminish irritation, and restrain apoptosis (customized cell demise) in the impacted cerebrum districts. In addition, it aids in the recovery of cognitive function and reduces the severity of brain damage in TBI cases.
The product is well-known for its abilities to improve cognitive function in addition to its neuroprotective properties. It is frequently used as a nootropic supplement to improve mental performance, particularly in older people or those with medical conditions that cause cognitive deficits. By increasing the metabolism of energy and levels of neurotransmitters in the brain, studies suggest that it can improve executive functions like memory and attention.
Its supplementation has been shown to improve focus, speed up information processing, and overall cognitive performance. Additionally, it shows guarantee in tending to side effects of mental exhaustion and working on the personal satisfaction in patients with constant sicknesses influencing cerebrum capability.
It can be obtained in a variety of forms, including intravenous injections, oral tablets, and capsules, making it accessible for a variety of clinical applications. It is by and large very much endured, with a good security profile. Disorders in the gastrointestinal tract, headaches, and insomnia are all mild side effects. Serious unfavorable impacts are intriguing, making it a protected choice for long haul use under clinical watch.
In outline, it is a flexible and powerful compound with significant advantages for mind wellbeing and mental capability. It is a useful tool in both clinical and non-clinical settings because it can support cognitive processes, increase neurotransmitter synthesis, and preserve neuronal integrity. It continues to be at the forefront of compounds that support brain health, whether it is used as a nootropic supplement for mental enhancement or for neuroprotection in acute brain injuries.
All in all, citicoline sodium powder is a compound that can be gotten from different sources, including soy. However, its supplements can also be derived from eggs or synthesized in other ways, so not all of them are made from soy. Before taking any supplements, it's important to read the labels and talk to your doctor, especially if you have a soy allergy or a dietary restriction.

If you are interested in our products, you can contact us at: emily@jiubaiyuanbiotech.com.