In the realm of cognitive enhancement and brain health, Citicoline Sodium powder has emerged as a potent ally. This powerful compound, also known as CDP-choline, has garnered attention for its potential to boost brain function, improve memory, and support overall neurological health. Let's delve into the world of Citicoline Sodium powder and explore its myriad benefits.

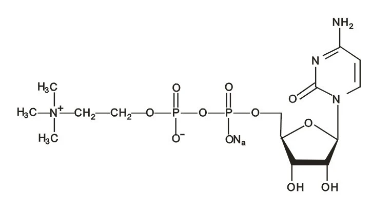
Citicoline Sodium powder is a synthetic form of citicoline, a naturally occurring compound found in every cell of the human body. It plays a crucial role in the synthesis of phosphatidylcholine, a major component of brain cell membranes. As a nootropic agent, Citicoline Sodium powder is used to enhance cognitive function and memory.
The uses of Citicoline Sodium powder extend beyond cognitive enhancement. It's being investigated for its potential in treating various neurological conditions, including:
In the United States, Citicoline Sodium powder is available as an over-the-counter dietary supplement. However, in some European countries and Japan, it's prescribed as a medication for specific neurological conditions.
The potential health benefits of Citicoline Sodium powder are numerous and primarily centered around brain function and neurological health. Let's explore some of these benefits in detail:
Research suggests that Citicoline Sodium powder may improve various aspects of cognitive function. A comprehensive review of over 800 studies concluded that citicoline enhances memory and attention in both healthy individuals and those with vascular dementia. This cognitive boost is particularly beneficial for older adults experiencing age-related memory decline.
Citicoline Sodium powder exhibits neuroprotective properties, which means it helps safeguard brain cells from damage. It accomplishes this by increasing brain metabolism and elevating neurotransmitter levels in the central nervous system. These neuroprotective effects may prove valuable in the prevention and treatment of neurodegenerative diseases.
While early studies showed promise in using Citicoline Sodium powder for stroke recovery, more recent large-scale clinical trials have produced mixed results. However, some research suggests that when administered within 12 hours of a stroke or daily for seven days following a stroke, citicoline may aid in faster recovery.
A 2021 review indicated that Citicoline Sodium powder might improve cognitive function in individuals with Parkinson's disease when used as an adjunct to primary treatment. This suggests potential benefits for managing the cognitive symptoms associated with this neurodegenerative disorder.
Glaucoma, now recognized as a neurodegenerative disease, may also benefit from Citicoline Sodium powder supplementation. A 2022 study found that a combination of oral citicoline and homotaurine improved visual function in glaucoma patients. This opens up new possibilities for managing this progressive eye condition.
Preliminary research indicates that Citicoline Sodium powder may have applications in mental health treatment. Studies, albeit limited, suggest potential benefits in managing conditions such as depression, bipolar disorder, and schizophrenia. However, more extensive research is needed to confirm these findings.
If you're considering adding Citicoline Sodium powder to your wellness regimen, it's essential to do so safely and effectively. Here are some guidelines to help you incorporate this supplement into your diet:
For general cognitive enhancement, the typical recommended dosage of Citicoline Sodium powder is 500 milligrams (mg) per day. It's crucial not to exceed this amount without professional medical advice. When used for specific medical conditions, dosages may range from 500 to 2,000 mg per day, but this should only be under the supervision of a healthcare provider.
Clinical trials have investigated Citicoline Sodium powder use for periods ranging from 3 to 12 weeks, depending on the condition being treated. For long-term use as a dietary supplement, it's advisable to consult with a healthcare professional to determine the appropriate duration based on your individual health needs and goals.
Citicoline Sodium powder can be consumed in various ways:
The powder form allows for flexible dosing and easy incorporation into your daily routine. However, always measure the powder accurately to ensure you're taking the correct dose.
While there's no strict rule about when to take Citicoline Sodium powder, some users report better results when taken in the morning. This timing may help maximize cognitive benefits throughout the day. However, the most important factor is consistency - try to take it at the same time each day to maintain steady levels in your system.
Citicoline Sodium powder is generally considered safe, but it's essential to be aware of potential interactions with other medications or supplements. It may interact with drugs that affect brain chemicals, so if you're taking any medications, particularly for neurological or psychiatric conditions, consult your healthcare provider before starting Citicoline Sodium powder supplementation.
While Citicoline Sodium powder can be a valuable addition to your cognitive health regimen, it's most effective when combined with a healthy lifestyle. This includes:
These lifestyle factors work synergistically with Citicoline Sodium powder to support optimal brain function and overall health.

As with any supplement, it's important to monitor how your body responds to Citicoline Sodium powder. Keep track of any changes in cognitive function, energy levels, or overall well-being. If you experience any adverse effects, discontinue use and consult a healthcare professional.
Remember, while Citicoline Sodium powder shows promise in supporting brain health and cognitive function, it's not a magic solution. It works best as part of a comprehensive approach to brain health that includes a healthy diet, regular exercise, quality sleep, and mental stimulation.
Citicoline Sodium powder represents an exciting frontier in cognitive enhancement and neurological health. From boosting memory and attention to potentially aiding in the treatment of various neurological conditions, its benefits are wide-ranging and promising. However, as with any supplement, it's crucial to approach its use thoughtfully and under appropriate guidance.
As research continues to unfold, we may discover even more applications for this powerful compound. In the meantime, for those looking to support their cognitive health and brain function, Citicoline Sodium powder offers an intriguing option worth exploring.
Call to Action: Are you interested in learning more about Citicoline Sodium powder and how it can benefit your cognitive health? Contact Xi'an Jiubaiyuan Biotechnology Co., Ltd. at mark@jiubaiyuanbiotech.com for more information about our high-quality Citicoline Sodium powder products. Our team of experts is ready to answer your questions and help you make informed decisions about your brain health journey.
